| 2.1. |
溶液與試劑用之單位及符號 |
| 2.1. |
1. 國際計量系統之符號 |
| |
| 係數 |
字首 |
符號 |
| 10-18 |
atto |
a |
| 10-15 |
femto |
f |
| 10-12 |
pico |
p |
| 12-9 |
nano |
n |
| 10-6 |
micro |
μ |
| 10-3 |
milli |
m |
| 10-2 |
centi |
c |
| 10-1 |
deci |
d |
|
|
係數 |
字首 |
符號 |
| 10 |
deca |
da |
| 102 |
hecto |
h |
| 103 |
kilo |
k |
| 106 |
mega |
M |
| 109 |
giga |
G |
| 1012 |
tera |
T |
| 1015 |
peta |
P |
| 1018 |
exa |
E |
|
|
| 2.1. |
2. 長度單位 |
| |
| 名 稱 |
符 號 |
英 文 名 |
公 尺 係 數 |
| 公里 |
km |
kilometer |
1000 |
| 百公尺 |
Hm |
hectometer |
100 |
| 公丈 |
Dkm(dam) |
dekameter |
10 |
| 公尺 |
M |
meter |
1 |
| 公寸 |
dm |
decimeter |
0.1 |
| 公分 |
cm |
centimeter |
0.01 |
| 公釐 |
mm |
millimeter |
0.001 |
| 微米 |
μm(μ) |
micormeter(micron) |
0.000001 |
| 毫微米 |
nm |
nanometer |
0.000000001 |
|
| 2.1. |
3. 重量單位 |
| |
| 名 稱 |
符 號 |
英 文 名 |
公 克 係 數 |
| 公斤 |
Kg |
kilogram |
1000 |
| 百公克 |
Hg |
hectogram |
100 |
| 十公克 |
Dkg(dag) |
dekagram |
10 |
| 公克 |
Gm |
gram |
1 |
| 十分之一公克 |
dg |
decigram |
0.1 |
| 百分之一公克 |
cg |
centigram |
0.01 |
| 毫克 |
mg |
milligram |
0.001 |
| 微毫克 |
μg(mcg or γ) |
microgram |
0.000001 |
|
| 2.1. |
4. 容量單位 |
| |
| 名 稱 |
符 號 |
英 文 名 |
公 升 係 數 |
| 公秉 |
Kl |
kiloliter |
1000 |
| 百公升 |
Hl |
hectoliter |
100 |
| 十公升 |
Dkl(dal) |
dekaliter |
10 |
| 公升 |
L |
liter |
1 |
| 十分之一公升 |
dl |
geciliter |
0.1 |
| 百分之一公升 |
cl |
centiliter |
0.01 |
| 毫升 |
ml |
milliliter |
0.001 |
| 微毫升 |
μl(λ) |
microliter |
0.000001 |
|
| 2.1. |
5. 華氏攝氏溫度轉換公式 |
| 2.1. |
5.1. 攝氏轉換成華氏: |
| |
℉ = ( ℃ × 9/5 ) + 32 |
| 2.1. |
5.2. 華氏轉換成攝氏: |
| |
℃ = ( ℉ - 32 ) × 9/5 |
| 2.1. |
5.3. 攝氏轉換成絕對溫度 (Kelvin): |
| |
°A = ℃ + 273 |
| |
|
| 2.2. |
試液 (Test Soultion) 及溶液 (Solution) |
| |
本節所列之試液右上角凡有 "*" 者係指示液 |
| 2.2. |
1. 酸性硫酸鐵銨試液 (ammonium ferric sulfate T.S.
Acid) |
| |
取硫酸鐵銨 20g,加硫酸 9.4ml,小心加入水到 100ml,即得。 |
| 2.2. |
2. 氯化鋇試液 (barium chloride T.S.) |
| |
取氯化鋇 12g,溶於適量之水,使全量成 100ml,即得。 |
| 2.2. |
3. 2- 奈酚溶液
(betanaphthol T.S. ) |
| |
取 2-
酚
1.0g,溶於 100 ml 氫氧化鈉溶液 (1:100),取得。本溶液臨用時配製。 |
| 2.2. |
4. 溴瑞香酚藍試液 (bromothymol blue T.S.)* |
| |
取溴瑞香酚藍 100mg,溶於稀醇 100ml 中,必要時過濾,即得。 |
| 2.2. |
5. 結晶紫試液 (crystal violet T.S.) |
| |
取結晶紫 100mg,溶於 10ml 的冰醋酸中,即得。 |
| 2.2. |
6. 硫酸銅試液 (cupric sulfate T.S.) |
| |
取無水硫酸銅 12.5g,溶於適量之水中,使全量成 100ml,即得。 |
| 2.2. |
7. 鹼性酒石酸銅試液 (cupric tartrate T.S.
alkaline) (Fehling's sol ution) |
| |
本試液亦名菲林 (Fehling) 氏試液,於臨時用時取等量之溶液 A 及溶液 B
混合後應用。 |
| |
溶液 A:小心選取未風化並乾燥之硫酸銅小結晶 34.66g,溶於適量之水中,使成
500ml,置於緊密之玻瓶中貯之。 |
| |
溶液 B:取酒石酸鉀鈉結晶 173g 及氫氧化鈉 50g,溶於適量之水中,使成
500ml,置於橡皮塞密塞之玻瓶中貯之。 |
| 2.2. |
8. 二苯硫(月宗)溶液 (dithizon solution) |
| |
取二苯硫(月宗) 25.6mg,溶於適量之乙醇中,使全量成
100ml。本液貯存於 4℃ 冰箱中,若超過二個月即不可再使用。 |
| 2.2. |
9. 重氮苯磺酸試液 (diazobenzene sulfonic acid
T.S.) |
| |
取胺基苯磺酸 (sulfanilic acid) 約 2g,於 105°
乾燥三小時後,稱取 1.57g,置燒杯中,加水 80ml 及稀鹽酸 10ml,於汽鍋上溫熱,使其溶解為止。於冷至
15°( 此時可有胺基苯磺酸析出,但其後仍能溶解 ),徐徐加亞硝酸鈉 (sodium nitrite) 溶液
(1:10)6.5ml 隨加攪拌,然後加水稀釋成 100ml 即得。 |
| 2.2. |
10. 氯化鐵試液 (ferric chloride T.S.) |
| |
取氯化鐵 9.0g,溶於適量之水中,使全量成 100ml,即得。 |
| 2.2. |
11. 鹽酸氯化鉀緩衝液 pH2.0 (hydrochloric acid -
potassium chloride buffer solution) |
| |
取 0.2N 鹽酸溶液 10ml 混合 0.2M 氯化鉀溶液 88.0ml 後,以
0.2N 鹽酸溶液調整 pH 為 2.0±0.1,再加水使全量成 200ml,即得。 |
| 2.2. |
12. 鹽酸羥胺試液 (hydroxylamine hydrochloride
T.S.) |
| |
取鹽酸羥胺 3.5g,溶於 60% 醇 95ml,加溴酚藍試液
(1:1,000)0.5ml 及 0.5N 醇製氫氧化鉀溶液,直至呈微綠色為止,然後加適量之 60% 醇使全量成
100ml,即得。 |
| 2.2. |
13. 碘試液 (iodine T.S.) |
| |
取碘 14g,溶於 36g 碘化鉀於 100ml 之水溶液中,加 3
滴鹽酸,加水使全量成 1000ml,即得。 |
| 2.2. |
14. 磷鉬鎢酸試液 (molybdo-phosphotungstate T.S.) |
| |
本試液又名佛丹二氏 (Folin-Denis) 試劑,可取水約
350ml,置於圓底燒瓶內,加鎢酸鈉 50g,磷鉬酸 12g 及磷酸
25ml,接以迴流冷凝器,煮沸二小時,放冷,加水稀釋至 500ml,混合均勻,製得,本品應置於密塞玻瓶中於冷暗處貯之。 |
| 2.2. |
15. 氯化汞-碘化鉀試液 (mercuric-potassium iodide
T.S.) |
| |
本試液又稱 Mayer's Reagent,取氯化汞 1.358g(mercuric
chloride) 加水 60ml 於一瓶,再取碘化鉀 (potassium iodide)5g 加水 10ml
於另一瓶,當二瓶溶解後混合,並加水到 100ml,即得。 |
| 2.2. |
16. 水合二氫茆三酮試液 (ninhydrin T.S.) |
| |
取水合二氫茆二酮 200mg,溶於適量之水中,使全量成
10ml,即得。本品應於臨用時配製之。 |
| 2.2. |
17. 酚(酉太)試液 (Phenolphthalein T.S.)* |
| |
取酚(酉太) 1g,溶於醇 100ml 中,即得。 |
| 2.2. |
18. 硝酸銀試液 (silver nitrate T.S.) |
| |
硝酸銀試液即是 0.1N 硝酸銀溶液。取硝酸銀 17.5g 溶於水並加至
1000ml 即得。 |
| 2.2. |
19. 碳酸鈉試液 (sodium carbonate T.S.) |
| |
取無水碳酸鈉 10.6g,溶於適量之水中,使全量成 100ml,即得。 |
| 2.2. |
20. 次氯酸鈉試液 (sodium hypochlorite T.S.) |
| |
本品為證明淡黃綠色之液體,有氯臭,遇光則徐徐變質。本品應置於阻光容器內,於不超過
25° 貯之。 |
| |
製法:取冷卻氫氧化鈉試液而以氯氣通入而製之。 |
| |
含量測定:取本品約 3ml,置於已知重量之玻塞瓶中,精確稱定,加水 50ml
稀釋。然後加碘化鉀 2g 及醋酸 10ml,以澱粉試液為指示劑,用 0.1N 硫代硫酸鈉溶液滴定析出之碘。每 ml 之
0.1N 硫代硫酸鈉溶液相當於 3.723mg NaCl0。本品所含 NaCl0 應在 4% 以上。 |
| 2.2. |
21. 氫氧化鈉試液 (sodium hydroxide T.S.) |
| |
取氫氧化鈉 4.3g,溶於適量之水中,使全量成 100ml,即得。 |
| 2.2. |
22. 亞硝酸鈉試液 (sodium nitrite T.S.) |
| |
取亞硝酸鈉 10.0g,溶於適量之水中,使全量成 100ml,即得。 |
| 2.2. |
23. 三硝基苯酚試液 (trinitrophenol T.S.) |
| |
本試液又稱苦味酸試液 (picric acid T.S.),取無水苦味酸
1.0g,溶適量之熱水中,使全量成 100ml,冷卻,必要時過濾,即得。 |
| 2.2. |
24. 亞硝酸鐵氰化鈉試液 (Sodium Nitroferricyanide
T.S.) |
| |
取亞硝酸鐵氰化鈉 1g,溶於適量之水中,使全量成
20ml,即得,本品應於臨用時配製之。 |
| |
|
| 2.3. |
容量分析溶液 (Volumetric Solution) |
| |
定規液:定規液又名當量液,係指溶液每 1,000ml
中含有效物質一克當量,亦即相當於氫 1.0079g 或氧 7.9997g。 |
| |
定規液或其他特別定規液,其標記方法如下:一定規液為 1N,二定規液為
2N,半定規液為 0.5N,十分之一定規液為 0.1N,五十分之一定規液為 0.02N,百分之一定規液為
0.01N,二百分之一定規液為 0.005N,千分之一定規液為 0.001N。 |
| |
克分子溶液:克分子溶液係指溶液每 1,000ml
含有效物質一克分子,如一克分子硫酸,即其溶液每 1,000ml 中含 98.07g 之 H2SO4,一克分之重鉻酸鉀溶液,即每
1,000ml 中含 294.22g 之 K2Cr2O7。 |
| |
克分子溶液之標記,係以 M 表示之,一克分子溶液為 1M,十分之一克分之溶液為
0.1M,其餘類推。 |
| |
製備一特定濃度之規定液較難,且無必要,故通常配製與規定濃度近似之定規液後測定其濃度。以滴定所得力價標明之,以備應用。 |
| |
所有容量分析溶液不論其為直接溶解製成,或為以濃溶液稀釋者,在測定力價前,均須用力振搖使完全混合均勻,容量分析溶液之力價,因久置而變其濃度,應時常重行測定以校正之。 |
| |
力價較低之定規液,均不穩定,如 0.01N 或更稀之過錳酸鉀液,0.01N
或更稀之硫代硫酸鈉液,均應於使用當日用新煮沸冷卻之水將較濃之定規液稀釋應用。 |
| |
如一種標準液須備數種不同濃度之定規液,通常係將常用濃度之一種定規液,詳述其製備法與力價測定法,其他濃度之定規液,可按照其當量製備並依法測定其力價或可用力價較高之定規液正確稀釋以製備之,惟其力價必須重行測定。 |
| |
容量分析溶液之製備與其力價測定:容量分析溶液力價之測定,通常可按照下述方法操作,惟其他方法如能得相同結果者,亦可採用。凡容量分析溶液之製備,力價之測定及其使用均應於
25°
施行,如滴定與測定力價時之溫度相差甚大,則力價應在該溫度重行測定或作適當之調整,本規格常用之容量分析溶液於本節敘述之。 |
| 2.3. |
1. 2N 醋酸液 (acetic acid, Double-Normal) |
| |
C2H4O2=60.05 121.0g:1,000ml |
| |
取冰醋酸 116ml,置 1,000ml
容量瓶中,加適量之蒸餾水,混合,放冷至室溫,再稀釋成 1,000ml,混合均勻,即得。 |
| 2.3. |
2. 0.1N 硫氰酸銨液 (ammonium thiocyanate,
tenth Normal) |
| |
NH4SCN=76.12 7.612g:1000ml |
| |
取硫氰酸銨約 8g,加蒸餾水 1,000ml 溶解之,然後用 0.1N
硝酸銀液按下法測定其力價。 |
| |
自滴定管精確量取 0.1N 硝酸銀液約 30ml,置於玻璃燒瓶中,加水 50ml
稀釋後,再加硝酸 2ml 及硫酸鐵銨試液 2ml,用本品滴定至現紅棕色為止。根據滴定結果計算其力價,即得。 |
| |
0.1N 硫氰酸鈉液或 0.1N 硫氰酸鉀液均可為本品代用品。 |
| 2.3. |
3. 0.1N 溴液 (bromine, tenth Normal) |
| |
Br=79.92g 7.992g:1,000ml |
| |
取溴酸鉀 3g 及溴化鉀 15g,加適量之水使其溶解,再稀釋成
1,000ml,然後按下法測定其力價: |
| |
精確量取此溶液約 25ml,置於 500ml 碘瓶中,加水 120ml
稀釋後,加鹽酸 5ml,密塞,徐徐振搖之,再加碘化鉀試液 5ml,密塞,振搖均勻,放置五分鐘,然後用 0.1N
硫代硫酸鈉液滴定析出之碘,將近終點時加澱粉試液為指示劑,繼續滴定至所呈藍色消褪為止。根據滴定結果計算其力價,即得。 |
| |
本品應置於阻光玻璃塞瓶中避光貯之。 |
| 2.3. |
4. 0.1N 硫酸鈰液 (ceric sulfate, tenth
Normal) |
| |
Ce(SO4)
2=332.24 33.22g:1,000ml |
| |
取硫酸銨鈰 59g,加硫酸 31ml 混合,小心地加水,每次加
20ml,直至完全溶解為止。靜置過夜,以玻璃坩堝過濾,濾液加水至 1000ml。 |
| |
取清潔乾燥之試藥鐵絲約 180mg,精確秤定,置放250ml 燒瓶中,加稀硫酸
50ml 將瓶用配有本生活栓密塞,置水浴上加熱,使鐵絲完全溶解,放冷,加入新煮沸冷卻之水 50ml,加入鄰菲囉 試液
(orthophenanthroline T.S) 2滴為指示劑,用本品滴至紅色變為淡藍色為止,由滴定結果計算力價。 |
| 2.3. |
5. 0.05M 四乙酸乙二胺二鈉液 (disodium
ethylenediamine tetraacetate, twentieth-Molar) |
| |
C10H14N2Na2O8.2H2O=372.24 18.61g:1,000ml |
| |
取四乙酸乙二胺二鈉 18.6g 溶於水中,並稀釋至
1,000ml。按照下列方法測定其力價: |
| |
取碳酸鈣 200mg,精確稱定,置於 400ml 燒杯中,加水
10ml,旋搖使呈糊漿狀,燒杯上蓋一錶玻璃,由缺口處加入稀鹽酸
2ml,旋搖使碳酸鈣完全溶解,用水洗滌錶玻璃及吸管外面,並加水至約 100ml,用磁鐵攪拌,從 50ml
滴定管中加四乙酸乙胺二鈉溶液 30ml,再加氫氧化鈉試液 15ml 及羥基 酚藍
(hydroxy naphthol blue) 指示劑
300mg,繼續以四乙酸乙二胺二鈉滴定至現藍色。依下列計算四乙酸乙二胺二鈉溶液之當量濃度: |
| |
W / (100.09V) |
| |
W:所取 CaCO3
之 mg 數。
|
| |
V:滴定時所耗四乙酸乙二胺二鈉之 ml 數。
|
| 2.3. |
6. 1N 鹽酸液 (hydrochloric acid,
Normal) |
| |
HC1=36.46 36.46g:1,000m |
| |
取鹽酸 95ml,置 1,000ml 容量瓶中,用適量之水稀釋使全量成
1,000ml,混合均勻,然後按照下列任何一法測定其力價: |
| 2.3. |
6.1. 取標準試藥無水碳酸鈉約 1.5g,於約
270° 乾燥一小時,精確稱定,用水 100ml 溶解後,加甲基紅試液 2
滴為指示劑,以本品徐徐滴定之,並時時攪拌,俟溶液現石竹紅色時,煮沸,冷卻,繼續滴定至所呈石竹紅色,不為加熱而消褪為止。根據滴定結果計算其力價,52.99mg
之無水碳酸鈉相當於 1N 鹽酸 1ml。必要時可調整其力價確為 1N。 |
| 2.3. |
6.2. 自滴定管精確量取本品 20ml,置
300ml 燒瓶中,用水 130ml 稀釋後,加硝酸 5 滴,然後徐徐加硝酸銀溶液 (1:10)
40ml,隨加隨攪,直至氯化銀完全沉澱為止 ( 必要時可稍加過量之硝酸銀液
)。將此混合液小心煮沸五分鐘,靜置暗處俟沉澱完全沉於杯底,上層溶液完全澄明為止,然後用已知重量之過濾坩堝過濾,沉澱用硝酸使微呈酸性之水洗滌,直至洗液不再呈銀鹽反應後,於約
110 乾燥至恆量,根據所得氯化銀之重量,計算鹽酸之力價,在測定時須盡可能使氯化銀避光以免變質影響測定結果。 |
| |
通常所用之各種鹽酸定規液及其每 1,000ml 中含 HC1 重量如下:
| 定規液之種類 |
每 1,000ml 中含 HC1 重量 |
| |
1 |
N |
| |
0.5 |
N |
| |
0.2 |
N |
| |
0.1 |
N |
| |
0.05 |
N |
| |
0.02 |
N |
| |
0.01 |
N |
| |
0.005 |
N |
| |
0.001 |
N |
|
| 3 |
6.46 |
g |
| 1 |
8.23 |
g |
| |
7.292 |
g |
| |
3.646 |
g |
| |
1.823 |
g |
| |
0.7292 |
g |
| |
0.3646 |
g |
| |
0.1823 |
g |
| |
0.03646 |
g |
|
|
| 2.3. |
7. 0.1N 碘液 (iodine, tenth
Normal) |
| |
I:126.91 12.69g:1,000ml |
| 2.3. |
7.1. 取碘化鉀 36g,溶於水
100ml,然後精確稱取昇華碘 12.75g,迅速加入,俟其溶解後加鹽酸 3 滴及適量之水使全量確成
1,000ml,即得,根據所取碘之量計算其力價。 |
| 2.3. |
7.2. 取碘化鉀 36g,溶於水
100ml,然後精確稱取碘 14g,迅速加入,俟其溶解後加鹽酸 3 滴及適量之水使全量成
1,000ml,按照下法測定其力價。 |
| |
精確稱取預先研細,並於 100° 乾燥至恆量之標準試藥三氧化二砷約
150mg,精確稱定,加 1N 氫氧化鈉液 20ml,溫熱使其溶解後,加水 40ml 與甲基橙試液 2
滴,再加稀鹽酸使溶液之黃色變為石竹紅色,然後加碳酸氫鈉 2g,用水50ml稀釋之,加澱粉試液 3ml
為指示劑,用本品徐徐滴定現持久之藍色為止,按照滴定結果計算其力價,每 4.946mg 之三氧化二砷相當於 0.1N 碘液
1ml,本品應置於阻光玻璃塞瓶中避光貯之,其力價應常加校正。 |
| 2.3. |
8. 0.1N 甲醇鋰液 (lithium
methoxide, tenth-Normal) |
| |
CH3OLi=37.98 3.798:1,000ml(in
methanol) |
| |
取鋰 69mg,加甲醇 150ml 溶解,並加足量之甲醇使適成 1,000m。 |
| |
取苯甲酸 150mg,精確稱定,溶於二甲基醯胺
25ml,於避免空氣中二氧化碳吸收之情況下,加甲醇 紅
(Quinaldine Red) 液為指示劑,以 0.1N 甲醇鋰液滴定之,另做空白試驗以校正之。每 ml 之 0.1N
甲醇鋰相當於 12.21mg 之 C7H6O2。 |
| 2.3. |
9. 0.1N 草酸液 (oxalic acid,
tenth-Normal) |
| |
H2C2O4.2H2O=126.07 6.304g:1,000ml |
| |
取草酸 6.45g,加適量之水溶解使全量成
1,000ml,然後精確量取適量之此液,按照 0.1N 過錳酸鉀液力價測定法,用新製之 0.1N
過錳酸鉀液滴定之,並計算其力價,即得。 |
| |
本品應置於阻光玻璃塞瓶中避光貯之。 |
| 2.3. |
10. 0.1N 過氯酸-醋酸液 (perchloric
acid, tenth-Normal, in glacial acetic acid) |
| |
HC104=100.46 10.05g:1,000ml |
| |
吸取約 8.5ml 過氯酸,加 500ml 冰醋酸 (glacial acetic
acid) 及 21ml 醋酸酐 (acetic anhydride) 冷卻,加冰醋酸使全量為 1,000ml。 |
| |
本溶液配好後,隔日,按費氏水份測定法測定,所含水份不超過 0.05%,若超過
0.05%,再加適量之醋酸酐,使水份含量在 0.05~0.02% 之內,再依下面方法標定其效價。 |
| |
取鄰苯二甲酸氫鉀 (potassium biphthalate) 於 120° 2
小時乾燥,冷卻,精確秤取約 700mg 於 250ml 燒杯中,加 50ml
冰醋酸及二滴結晶紫試液,以本溶液滴定到由紫色變為綠色為終點,並以 50ml 之冰醋酸做空白試驗。則每 20.42mg
之鄰苯二甲酸氫鉀相當於 1ml0.1N 過氯酸。 |
| 2.3. |
11. 0.1N 重鉻酸鉀液 (potassium
dichromate, tenth-Normal) |
| |
K2Cr2O7=294.22 4.904g:1,000ml |
| 2.3. |
11.1. 精確稱取預先磨細並於 120°
乾燥至恆量之標準試藥重鉻酸鉀 4.9035g,溶於適量之水中使確成 1,000ml,即得。 |
| 2.3. |
11.2. 取重鉻鉀約 5g,溶於水
1,000ml,精確量取此溶液 25ml,置 500ml玻塞燒瓶中,加碘化鉀 ( 無碘酸鹽者 )2g,用水 200ml
稀釋後,加鹽酸 5ml,振搖均勻,於暗處放置十分鐘。然後用 0.1N
硫代硫酸鈉液滴定析出之碘,將近終點時,加澱粉試液為指示劑,繼續滴定至所呈現藍色消褪為止。另作一空白試驗,以校正硫代硫酸鈉液之用量,然後計算其力價,即得。 |
| 2.3. |
12. 0.1N 氫氧化鉀液(patassium
hydroxide, Normal) |
| |
KOH=56.11 56.11g:1,000ml |
| |
取氫氧化鉀約 74g,溶於水
95ml,加新製之氫氧化鋇飽和溶液,俟沉澱不再發生後,振搖均勻,密塞,靜置過液,將上層溶液傾出或過濾,而後按照 1N
氫氧化鈉液力價測法測定。 |
| |
| 定規液之種類 |
每 1,000ml 中含
KOH 重量 |
|
|
| 5 |
6.11 |
g |
| 2 |
8.05 |
g |
| |
5.611 |
g |
| |
1.122 |
g |
|
|
| 2.3. |
13. 0.1N 過錳酸鉀液 (potassium
permanganate, tenth-Normal) |
| |
KMnO4=158.04 3.161g:1,0000ml |
| |
取過錳酸鉀約 3.3g,置於燒瓶中,加水 1,000ml
使之溶解後,煮沸約十五分鐘,密塞,靜置二天以上,然後經石棉過濾,濾液按照下法測定其力價: |
| |
取預經 110° 乾燥至恆量之標準試藥草酸鈉約 200mg,精確稱定,加水
250ml 溶解後,再加硫酸 7ml,熱至約
70°,然後由滴定管徐徐滴加本品,隨加隨攪,直至所現之淡石竹紅色保持十五秒鐘不褪為止。滴定完畢時之溫度不得低於
60°,根據滴定結果計算其力價。每 6.700mg 之草酸鈉相當於 1ml 之 0.1N 過錳酸鉀液。 |
| |
本品應置於阻光玻璃塞瓶中貯之,並須時常重行測定其力價。 |
| |
通常所用之各過錳酸鉀定規液及其每 1,000ml 中含 KMnO4
之重量如下: |
| |
| 定規液之種類 |
每 1,000ml 中含
KMnO4 重量 |
|
|
| 3 |
1.61 |
g |
| |
3.161 |
g |
| |
0.6321 |
g |
| |
0.3161 |
g |
|
|
| 2.3. |
14.1N 硝酸銀液 (sliver nitrate,
tenth Normal) |
| |
AgNO3=169.89 16.99g:1,000ml |
| |
取硝酸銀約 17.5g,溶於水 1,000ml,按照下述方法測定其力價: |
| |
精確量取本品約 40ml,加水約 100ml
加熱,徐徐加以稀鹽酸,隨加隨攪,直至氯化銀完全沉澱為止。將此混合液小心煮沸約五分鐘,靜置於暗處俟沉澱完全沉下而上層溶液完全澄明後,將沉澱完全移置已知重量之過濾坩堝中,用少量加硝酸使微呈酸性之水洗淨沉澱,並於
110° 乾燥至恆量,根據所得氯化銀之重量計算其力價。測定時應盡可能使氯化銀避光操作之。 |
| |
通常所用之各種硝酸銀定規液及其每 1,000ml 中含 AgNO3
之重量如下: |
| |
| 定規液之種類 |
每 1,000m 中含
AgNO3 重量 |
|
|
|
|
| |
0.01N 硝酸銀液之配製,可精確量取 0.1N 硝酸銀液 10ml,加硝酸 1
滴再加水稀釋至全量為 100ml,即得。 |
| 2.3. |
15. 1N 氫氧化鈉液 (sodium
hydroxide, Normal) |
| |
NaOH=40.00 40.00g:1,000ml |
| |
取氫氧化鈉 45g,溶於水約 950ml
中,加新製之氫氧化鋇飽和溶液,俟沉澱不再發生後,振搖均勻,密塞,靜置過夜。將上層溶液傾出或過濾,按照下列任何一法測定其力價: |
| 2.3. |
15.1. 精確量取 1N 鹽酸或 1N 硫酸
30ml,用新煮沸冷卻之水 50ml 稀釋之,加酚 試液
(phenolphthalein T.S.) 2 滴為指示劑,用本品滴定至現持久之石竹紅色,由滴定結果計算其力價,即得。 |
| 2.3. |
15.2. 取苯二甲酸氫鉀約 6g (
如為大結晶需磨成碎粉 ) 於 105° 乾燥三小時後,精確稱定,用新煮沸冷卻之水 75ml 溶解之,加酚 試液
2 滴為指示劑。用本品滴定至現持久石竹紅色,並計算其力價,即得。苯二甲酸氫鉀之 204.2mg 相當於 1N 氫氧化鈉
1ml。本品露置空氣中吸收二氧化碳,故應置於適當密塞玻瓶中,玻瓶配以雙孔橡皮塞,一孔內插一管充滿氫氧化鈉及氧化鈣之混合物
( 鈉石灰管
),使空氣均通鈉石灰而進入瓶內,另一孔插玻管一支,以供吸出氫氧化鈉液之用。本品應時常重行測定其力價。通常所用之各種氫氧化鈉定規液及其每
1,000ml 中含 NaOH 之重量如下: |
| |
| 定規液之種類 |
每 1,000ml 中含
NaOH 重量 |
| |
1 |
N |
| |
0.5 |
N |
| |
0.2 |
N |
| |
0.1 |
N |
| |
0.05 |
N |
| |
0.02 |
N |
| |
0.01 |
N |
| |
0.005 |
N |
| |
0.001 |
N |
|
| 4 |
0.00 |
g |
| 2 |
0.00 |
g |
| |
8.00 |
g |
| |
4.00 |
g |
| |
2.00 |
g |
| |
0.80 |
g |
| |
0.40 |
g |
| |
0.20 |
g |
| |
0.040 |
g |
|
|
| 2.3. |
16. 0.1N 苯製甲醇鈉 (sodium
methoxide, tenth-Normal) (in benzene) |
| |
CH3ONa=54.02 5.402g:1,000ml |
| |
取甲醇 150ml 置於 1,000ml
容量瓶內,於冰水中冷卻,然後分次加入新鮮切割成小塊之鈉金屬約 2.5g。俟鈉金屬溶解後加苯使全量成
1,000ml,混合均勻。本品最好置於具自動輸送滴定管之容器內,以避二氧化碳及濕氣。然後按照下法測定其力價: |
| |
精確量取標準試藥苯甲酸約 400mg,置燒瓶中,加二甲基甲醯胺 80ml
使之溶解。滴加瑞香酚藍 3 滴 (thymol blue 1g 溶於100ml dimethylformamide)
,用本品滴至藍色終點。另作 80ml 二甲基甲醯胺空白試驗,以校正 Sodium methoxide
之正確用量。計算力價,即每 ml 0.1N 苯製甲醇鈉相當於 12.21mg 苯甲酸。 |
| 2.3. |
17. 0.5N 甲醇製甲醇鈉 (Sodium
methoxide, half-Normal)(in methanol) |
| |
CH3ONa=54.02 27.01g:1,000ml |
| |
取新鮮切割成細方塊之鈉金屬 11.5g,另取無水甲醇約 0.5ml 置於 250ml
圓底燒瓶,接以圓玻璃接合管,加入一塊鈉金屬,俟作用停止後,加入其餘鈉塊。燒瓶復與迴流冷凝器連接,並由冷凝器之上端徐徐分次加入無水甲醇
250ml。調節甲醇添加率,令發生之蒸冷凝,使不致由冷凝器品流失。俟甲醇添加完畢,於冷凝器上端接以乾燥管,並靜置冷卻之,然後將溶液移置
1,000ml 容量瓶內,加無水甲醇稀釋至全量為 1,000ml,混合均勻,按照下法測定其力價: |
| |
精確量取新鮮配製之 1N 鹽酸約 20ml,置於 250ml
錐形瓶,加酚(酉太)試液 0.25ml 為指示劑,用本品滴定至現持久之石竹紅色為止,按照滴結果計算其力價,即得。 |
| 2.3. |
18. 0.1N 亞硝酸鈉液 (sodium
nitrite, tenth-Normal) |
| |
NaNO2=69.00 6.900g:1,000ml |
| |
取亞硝酸鈉 7.5g,溶於適量之水中,使全量成
1,000ml,按照下列方法測定其力價: |
| |
取預經 105° 乾燥三小時之苯磺胺(Sulfanilamide)對照標準品約
500mg,精確稱定,置於燒杯或有柄磁皿中,加水 50ml 及鹽酸 5 ml,攪拌使其溶解,冷卻至 15°,加冰屑約
25g,然後用本品徐徐滴定,使用電磁攪拌器緩緩攪拌並將滴定管口浸入液面下,至距終點約 1ml 內時,每分鐘加
0.1ml,直至當用玻琫蘸此溶液塗於碘化鉀澱粉糊試液即現藍色為止 ( 當滴定完成時,放置一分鐘後其終點應仍為藍色
),計算其力價,即得。每 ml 之 0.1N 亞硝酸鈉液相當於 17.22mg 之苯磺胺。 |
| 2.3. |
19. 0.1N 硫代硫酸鈉液 (sodium
thiosulfate, tenth-Normal) |
| |
Na2S2O3‧5H2O=248.19 24.82g=1,000ml |
| |
取硫代硫酸鈉約 26g 及碳酸鈉 200mg,溶於新煮沸冷卻之水 1,000ml
中,然後用 0.1N 碘液或 0.1n 重鉻酸鉀液,按照下法測定其力價: |
| |
精確量取 0.1N 重鉻酸鉀液 30ml,置玻塞瓶中,用水 50ml
稀釋後,加碘化鉀 2g 及鹽酸 5ml,密塞,靜置十分鐘。然後加水 100ml
稀釋之,用本品滴定析出之碘,俟溶液現黃色時,加澱粉試液為指示劑,繼續滴定至所呈現藍色消褪為止,計算其力價,即得。本品應時常重新測定其力價。 |
| |
通常所用之各種硫代硫酸鈉定規液及其每 1,000ml 中含 Na2S2O3‧5H2O
之重量如下: |
| |
| 定規液之種類 |
每 1,000ml 中含
Na2S2O3‧5H2O
重量 |
| |
0.1 |
N |
| |
0.05 |
N |
| |
0.02 |
N |
| |
0.01 |
N |
| |
0.005 |
N |
| |
0.002 |
N |
|
| 2 |
4.82 |
g |
| 1 |
2.41 |
g |
| |
4.964 |
g |
| |
2.482 |
g |
| |
1.241 |
g |
| |
0.4964 |
g |
|
|
| 2.3. |
20. 0.1N 硫酸液 (sulfuric acid,
Normal) |
| |
H2SO4=98.08 49.04g:1,000ml |
| |
取硫酸 30ml,徐徐加於水約 1,020ml 中,隨加隨攪,放冷至
25°,按照下列任何一法測定其力價: |
| 2.3. |
20.1. 取本品按照 1N 鹽酸力價測定法用碳酸鈉測定之。 |
| 2.3. |
20.2. 精確量取本品 20ml,置 500ml
燒杯中,加水 25ml 及鹽酸
1ml,煮沸,然後徐徐加熱氯化鋇試液,隨加隨攪,直至硫酸鋇完全沉澱為止。然後於汽鍋上加熱一小時,經已知重量之過濾坩堝過濾,濾渣用熱水洗滌,直至洗液無氯化物反應後,乾燥,熾灼至恆量,根據所得硫酸鋇之重量計算其力價。 |
| |
通常所用之各種硫酸定規液及其每 1,000ml 中含 H2SO4
之重量如下: |
| |
| 定規液之種類 |
每 1,000ml 中含
H2SO4
重量 |
| |
1 |
N |
| |
0.5 |
N |
| |
0.2 |
N |
| |
0.1 |
N |
| |
0.05 |
N |
| |
0.02 |
N |
| |
0.01 |
N |
|
| 4 |
9.04 |
g |
| 2 |
4.528 |
g |
| |
9.808 |
g |
| |
4.904 |
g |
| |
2.452 |
g |
| |
0.9808 |
g |
| |
0.4904 |
g |
|
|
| |
|
| 2.4. |
臨床血液學試劑 |
| 2.4. |
1. 抗凝血溶液 |
| 2.4. |
1.1. 2% 草酸鈉溶液 |
| |
| |
草酸鈉 (Sodium
Citrate) |
2 |
gm |
| |
0.85% 生理鹽水 |
100 |
ml |
| |
用量:每 5ml 血液加 1ml
本液 |
|
|
|
| 2.4. |
1.2. 肝素抗凝血劑 |
| |
| |
肝素 (Heparin) |
100 |
mg |
| |
0.85% 生理鹽水 |
2.5 |
ml |
|
| |
配法及用法:將上述藥品混合溶解、分裝之試管、每支分裝 0.25ml,置於真空乾燥器於
37℃ 以下濃縮到乾,每支可使用 5ml 之血液。 |
| 2.4. |
1.3. 草酸胺鉀溶液 |
| |
| |
草酸胺 (Ammonium
Oxalate) |
1.2 |
gm |
| |
草酸鉀 (Potassium
Oxalate) |
0.8 |
gm |
| |
蒸餾水 (Distilled
Water) |
100 |
ml |
|
| |
配法及用法:將上述藥品溶解後,每支試管分裝 0.5ml,置試管於真空乾燥器於 80℃
以下濃縮到乾,每支可使用 5ml 血液。 |
| 2.4. |
2. 白血球計數用溶液 |
| 2.4. |
2.1. 2% 冰醋酸溶液 |
| |
| |
冰醋酸 (Glacial
acetic acid) |
2 |
ml |
| |
蒸餾水 (Distilled
Water) |
100 |
ml |
|
| 2.4. |
2.2. 吐克試液 (Turk's fluid Reagent) |
| |
| |
冰醋酸 (Glacial
acetic acid) |
3 |
ml |
| |
10%
龍膽紫 (10% Gentina Violet Sol) |
3 |
ml |
| |
蒸餾水 (Distilled
Water) |
300 |
ml |
| |
註:配完須過濾才使用 |
|
|
|
| 2.4. |
3. 紅血球計數用溶液 |
| 2.4. |
3.1. 0.85% 生理鹽水 |
| |
| |
氯化鈉 (Sodium
Chloride) |
0.85 |
gm |
| |
蒸餾水 (Distilled
Water) |
100 |
ml |
|
| 2.4. |
3.2. Hayem's fluid 試液 |
| |
| |
氯化汞 (Mercuric
Chloride) |
0.5 |
gm |
| |
氯化鈉 (Sodium
Chloride) |
1.0 |
gm |
| |
硫酸鈉 (Sodium
Sulfate) |
5.0 |
gm |
| |
蒸餾水 (Distilled
Water) |
200 |
ml |
|
| 2.4. |
4. 血小板計數用溶液 |
| 2.4. |
4.1. 黎艾氏液 (Lees and Ecker Solution) |
| |
| |
檸檬酸鈉 (Sodium
Citrate) |
3.8 |
gm |
| |
40% 甲醛液 (40%
Formaldehyde) |
0.2 |
ml |
| |
燦欄甲酚藍 (Brilliant
Cresolblue) |
0.1 |
gm |
| |
蒸餾水 (Distilled
Water) |
100 |
ml |
|
| 2.4. |
4.2. 蓋李氏液 (Guy and Lee Solution) |
| |
| |
40% 甲醛液 (40%
Formaldehyde) |
6.0 |
ml |
| |
草酸鈉 (Sodium
Oxalate) |
1.6 |
gm |
| |
龍膽紫 (Crystal
Violet) |
10 |
mg |
| |
蒸餾水 (Distilled
Water) |
94 |
ml |
|
| 2.5. |
臨床生化學試劑 |
| 2.5. |
1. 14% 氨水 |
| |
| |
氨水 (Ammonium
Hydroxide) (28%) |
50 |
ml |
| |
蒸餾水 (Distilled
Water) |
50 |
ml |
|
| 2.5. |
2. 崔金氏劑 (DRABKIN'S SOLUTION)* |
| |
| |
碳酸氫鉀 (Potassium Bicarbonate)
|
1.0
|
gm |
| |
氫酸鉀 (Potassium Cyanide)
|
52.0
|
mg |
| |
紅血鹽 (Potassium Ferricyanide)
|
198.0
|
mg |
| |
蒸餾水 (Distilled Water)
|
1000.0
|
ml |
| |
*
本試劑是劇毒,使用須小心。 |
|
|
|
| 2.5. |
3. 林格氏劑 (Ringel Solution) |
| |
| |
氯化鈉 (Sodium Chloride)
|
8.6
|
gm |
| |
氯化鉀 (Potassium Chloride)
|
0.3
|
gm |
| |
氯化鈣 (Calcium Chloride)
|
0.23
|
gm |
| |
蒸餾水 (Distilled Water)
|
1000
|
ml |
|
| 2.5. |
4. 10% 福馬林液 |
| |
| |
福馬林 (Formalin) |
25 |
ml |
| |
蒸餾水 (Distilled
Water)加到 |
100 |
ml |
|
| 2.5. |
5. 酒精稀釋配製 |
| |
例:須要多少 ml 的 95% 酒精配製成 75%1000ml? |
| |
75:95=x:1000 x=789.4ml |
| |
亦就是須要 95% 的酒精 789.4ml 加蒸餾水到 1000ml 即成 75%
之酒精。 |
| 2.5. |
6. 鹼性酒石酸銅試劑 |
| |
| |
無水碳酸鈉 (Sodium Carbonate)
|
40.0
|
gm |
| |
酒石酸 (Tartaric Acid)
|
7.5
|
gm |
| |
硫酸銅 (Copper Sulfate)
|
4.5
|
gm |
| |
蒸餾水 (Distilled Water) 加到
|
1000
|
ml |
|
| 2.5. |
7. Loftler 氏美藍液 |
| |
| |
美藍 (Methylen Blue)
|
1.5
|
gm |
| |
酒精
(Ethyl Alcohol) |
30
|
ml |
| |
0.01% 氫氧化鉀水溶液 |
100
|
ml |
|
| 2.5. |
8. Ziehl 氏石碳酸品紅液 |
| |
| |
品紅 (Fuchsin) |
1.1
|
gm |
| |
酒精
(Fthyl Alcohol) |
10
|
gm |
| |
5%
石碳酸水溶液 |
100
|
ml |
|
| 2.5. |
9. Pfeiffer 氏染色液 |
| |
將 Ziehl 氏石碳酸品紅液用蒸餾水稀釋為 10 倍液,即成 Pfeiffer
氏染色液。 |
| 2.5. |
10. 靛基質試驗試液 (Indol test T.S.) |
| 2.5. |
10.1. Ehrlich 氏液 |
| |
| |
對二甲胺基苯 ( 甲 ) 醛
(P-Dimethylaminobenzaldehyde) |
2
|
gm |
| |
乙醇
(Ethyl Alcohol) |
190
|
ml |
| |
鹽酸
(Hydrochloric Acid) |
40
|
ml |
|
| 2.5. |
10.2. Kovacs氏液 |
| |
| |
戊醇或異戊醇 (Amyl or
isoamyl Alcohol) |
150
|
ml |
| |
對二甲胺基苯 ( 甲 ) 醛 (P-Dimethylaminobenzaldehyde) |
10
|
gm |
| |
鹽酸
(Hydrochloric Acid) |
50
|
ml |
|
| 2.6. |
緩衝劑 |
| 2.6. |
1. 緩衝劑之定義: |
| |
溶液中含有將近相等的弱酸和其共軛鹽基,所形成之溶液,此溶液不因加入少量之酸或鹼而使
pH 值急劇改變,此溶液稱為緩衝液 (Buffer Solution)。 |
| 2.6. |
2. 緩衝劑之種類及其配製: |
| |
|
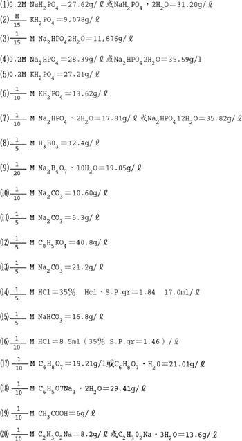
| 2.6. |
3. 磷酸緩衝液 |
| 2.6. |
3.1. Gomori 磷酸緩衝液如表1 |
| |
表 1. Gomori 磷酸緩衝液
0.2M NaH2PO4
x ml + 0.2M NaH2PO4
y ml + 水 --> 200ml
| NaH2PO4
+ NaH2PO4
|
| x |
y |
pH |
|
9 |
3.5 |
|
9 |
2.0 |
|
9 |
0.0 |
|
8 |
7.7 |
|
8 |
5.0 |
|
8 |
1.5 |
|
7 |
7.5 |
|
|
|
6.5 |
|
|
8.0 |
|
1 |
0.0 |
|
1 |
2.3 |
|
1 |
5.0 |
|
1 |
8.5 |
|
2 |
2.5 |
|
|
|
5.7 |
|
|
5.8 |
|
|
5.9 |
|
|
6.0 |
|
|
6.1 |
|
|
6.2 |
|
|
6.3 |
|
|
| 2.6. |
3.2. Clark & Lubs 磷酸緩衝液,如表 2。 |
| |
表2. Clark & Lubs 磷酸緩衝液
1/5 M KH2PO4
50ml + 1/15 M NaOH x ml + 水 --> 200ml
| KH2PO4
+ NaOH |
| x |
pH |
x |
pH |
|
|
3.66 |
|
|
5.64 |
|
|
8.55 |
|
1 |
2.60 |
|
1 |
7.74 |
|
2 |
3.60 |
|
|
|
2 |
9.54 |
|
3 |
4.90 |
|
3 |
9.34 |
|
4 |
2.74 |
|
4 |
5.17 |
|
4 |
6.85 |
|
|
|
| 2.6. |
3.3. Mclivaine 磷酸緩衝液:如表 3 |
| |
表 3. Mclivaine 磷酸緩衝液
0.2M
Na2HPO4
|
0.1M
枸椽酸 |
pH |
0.2M
Na2HPO4
|
0.1M
枸椽酸 |
pH |
|
|
0.4 |
|
|
1.24 |
|
|
2.18 |
|
|
3.17 |
|
|
4.11 |
|
|
4.94 |
|
|
5.70 |
|
|
6.44 |
|
|
7.10 |
|
|
7.71 |
|
|
8.28 |
|
|
8.82 |
|
|
9.35 |
|
|
9.86 |
|
1 |
0.30 |
|
|
1 |
9.6 |
|
1 |
8.76 |
|
1 |
7.82 |
|
1 |
6.83 |
|
1 |
5.89 |
|
1 |
5.06 |
|
1 |
4.30 |
|
1 |
3.56 |
|
1 |
2.90 |
|
1 |
2.29 |
|
1 |
1.72 |
|
1 |
1.18 |
|
1 |
0.65 |
|
1 |
0.14 |
|
|
9.70 |
|
|
|
2.2 |
|
|
2.4 |
|
|
2.6 |
|
|
2.8 |
|
|
3.0 |
|
|
3.2 |
|
|
3.4 |
|
|
3.6 |
|
|
3.8 |
|
|
4.0 |
|
|
4.2 |
|
|
4.4 |
|
|
4.6 |
|
|
4.8 |
|
|
5.0 |
|
|
1 |
0.72 |
|
1 |
1.15 |
|
1 |
1.60 |
|
1 |
2.03 |
|
1 |
2.63 |
|
1 |
3.22 |
|
1 |
3.85 |
|
1 |
4.55 |
|
1 |
5.45 |
|
1 |
6.47 |
|
1 |
7.39 |
|
1 |
8.17 |
|
1 |
8.73 |
|
1 |
9.15 |
|
1 |
9.45 |
|
|
|
9.28 |
|
|
8.85 |
|
|
8.40 |
|
|
7.91 |
|
|
7.37 |
|
|
6.78 |
|
|
6.15 |
|
|
5.45 |
|
|
4.55 |
|
|
3.53 |
|
|
2.61 |
|
|
1.83 |
|
|
1.27 |
|
|
0.85 |
|
|
0.55 |
|
|
|
5.2 |
|
|
5.4 |
|
|
5.6 |
|
|
5.8 |
|
|
6.0 |
|
|
6.2 |
|
|
6.4 |
|
|
6.6 |
|
|
6.8 |
|
|
7.0 |
|
|
7.2 |
|
|
7.4 |
|
|
7.6 |
|
|
7.8 |
|
|
8.0 |
|
|
| 2.6. |
4. 碳酸緩衝液 |
| 2.6. |
4.1. Delory & Kimg 碳酸緩衝液,如表 4 |
| |
表 4. Delory & Kimg 碳酸緩衝液
0.2M 無水碳酸鈉 x ml + 0.2M NaHCO3
y ml + 水 --> 200ml
| x |
y |
pH |
x |
y |
pH |
|
|
4.0 |
|
|
7.5 |
|
|
9.5 |
|
1 |
3.0 |
|
1 |
6.0 |
|
1 |
9.5 |
|
2 |
2.0 |
|
2 |
5.0 |
|
|
4 |
6.0 |
|
4 |
2.5 |
|
4 |
0.5 |
|
3 |
7.0 |
|
3 |
4.0 |
|
3 |
0.5 |
|
3 |
8.0 |
|
2 |
5.0 |
|
|
|
9.2 |
|
|
9.3 |
|
|
9.4 |
|
|
9.5 |
|
|
9.6 |
|
|
9.7 |
|
|
9.8 |
|
|
9.9 |
|
|
2 |
7.5 |
|
3 |
0.0 |
|
3 |
3.0 |
|
3 |
5.5 |
|
3 |
8.5 |
|
4 |
0.5 |
|
4 |
2.5 |
|
4 |
5.0 |
|
|
2 |
2.5 |
|
2 |
0.0 |
|
1 |
7.0 |
|
1 |
4.5 |
|
1 |
1.5 |
|
|
9.5 |
|
|
7.5 |
|
|
5.0 |
|
|
1 |
0.0 |
|
1 |
0.1 |
|
1 |
0.2 |
|
1 |
0.3 |
|
1 |
0.4 |
|
1 |
0.5 |
|
1 |
0.6 |
|
1 |
0.7 |
|
|
| 2.6. |
4.2. Kolthoff 緩衝液,如表 5 |
| |
表 5. Kolthoff 緩衝液
0.05M Na2CO3
x ml + 0.05M 硼酸 y ml
| x |
y |
pH |
x |
y |
pH |
|
|
0.0 |
|
3 |
5.7 |
|
5 |
5.5 |
|
6 |
6.7 |
|
7 |
5.4 |
|
|
10 |
0.0 |
|
6 |
4.3 |
|
4 |
4.5 |
|
3 |
3.3 |
|
2 |
4.6 |
|
|
|
8 |
2.2 |
|
8 |
6.9 |
|
9 |
1.5 |
|
9 |
4.8 |
|
9 |
7.3 |
|
|
|
1 |
0.2 |
|
1 |
0.4 |
|
1 |
0.6 |
|
1 |
0.8 |
|
1 |
1.0 |
|
|
| 2.6. |
5. 硼酸緩衝液如表 6 |
| |
表 6. 硼酸緩衝液
0.2M 硼酸 50ml + 0.05M 硼酸鈉 x ml + 水 --> 200ml
| x |
pH |
x |
pH |
|
|
2.0 |
|
|
3.1 |
|
|
4.9 |
|
|
7.3 |
|
1 |
1.5 |
|
1 |
7.5 |
|
|
|
2 |
2.5 |
|
3 |
0.0 |
|
4 |
2.5 |
|
5 |
9.0 |
|
8 |
3.0 |
|
11 |
5.0 |
|
|
|
| 2.6. |
6. 醋酸緩衝液,如表 7 |
| |
表 7. 醋酸緩衝液
0.2M 醋酸 x ml + 0.2M 醋酸鈉 y ml+水 --> 100ml
| x |
y |
pH |
x |
y |
pH |
|
4 |
6.3 |
|
4 |
4.0 |
|
4 |
1.0 |
|
3 |
9.8 |
|
3 |
0.5 |
|
2 |
5.5 |
|
|
|
3.7 |
|
|
6.0 |
|
|
9.0 |
|
1 |
3.2 |
|
1 |
9.5 |
|
2 |
4.5 |
|
|
|
|
3 |
0.0 |
|
3 |
5.2 |
|
3 |
9.5 |
|
4 |
1.2 |
|
4 |
5.2 |
|
|
|
| 2.6. |
7. 枸椽酸緩衝液,如表 8 |
| |
表 8. 枸橡酸緩衝液
0.1M 枸橡酸 x ml + 0.1M 枸橡酸鈉 y ml + 水 -->100ml
| x |
y |
pH |
|
4 |
6.5 |
|
4 |
3.7 |
|
4 |
0.0 |
|
3 |
7.0 |
|
3 |
5.0 |
|
3 |
3.0 |
|
3 |
1.5 |
|
2 |
8.0 |
|
2 |
5.5 |
|
2 |
3.0 |
|
2 |
0.5 |
|
1 |
8.0 |
|
1 |
6.0 |
|
1 |
3.7 |
|
1 |
1.8 |
|
|
9.5 |
|
|
7.2 |
|
|
|
3.5 |
|
|
6.3 |
|
1 |
0.0 |
|
1 |
3.0 |
|
1 |
5.0 |
|
1 |
7.0 |
|
1 |
8.5 |
|
2 |
2.0 |
|
2 |
4.5 |
|
2 |
7.0 |
|
2 |
9.5 |
|
3 |
2.0 |
|
3 |
4.0 |
|
3 |
6.3 |
|
3 |
8.2 |
|
4 |
1.5 |
|
4 |
2.8 |
|
|
|
3.0 |
|
|
3.2 |
|
|
3.4 |
|
|
3.6 |
|
|
3.8 |
|
|
4.0 |
|
|
4.2 |
|
|
4.4 |
|
|
4.6 |
|
|
4.8 |
|
|
5.0 |
|
|
5.2 |
|
|
5.4 |
|
|
5.6 |
|
|
5.8 |
|
|
6.0 |
|
|
6.2 |
|
|
| 2.6. |
8. (酉夫)酸氫鉀 (Potassium biphthalate) 緩衝液。如表
9 |
| |
表 9.
(酉夫)酸氫鉀緩衝液
1/5 M
(酉夫)酸氫鉀 50ml + 1/5 M.HC1 x ml +水 --> 200ml
1/5 M
(酉夫)酸氫鉀 50ml + 1/5 M.NaOH +水 --> 200ml
酸氫鉀
+ HC1 |
酸氫鉀
+ NaOH |
| x |
pH |
x |
pH |
|
4 |
6.6 |
|
3 |
9.6 |
|
3 |
3.0 |
|
2 |
6.5 |
|
2 |
0.4 |
|
1 |
4.8 |
|
|
9.9 |
|
5 |
6.0 |
|
|
2.65 |
|
|
|
2.2 |
|
|
2.4 |
|
|
2.6 |
|
|
2.8 |
|
|
3.0 |
|
|
3.2 |
|
|
3.4 |
|
|
3.6 |
|
|
3.8 |
|
|
|
0.4 |
|
|
3.65 |
|
|
7.35 |
|
1 |
2.0 |
|
1 |
7.5 |
|
2 |
3.65 |
|
2 |
9.75 |
|
3 |
5.25 |
|
3 |
9.7 |
|
4 |
3.1 |
|
4 |
5.4 |
|
4 |
7.0 |
|
|
|
4.0 |
|
|
4.2 |
|
|
4.4 |
|
|
4.6 |
|
|
4.8 |
|
|
5.0 |
|
|
5.2 |
|
|
5.4 |
|
|
5.6 |
|
|
5.8 |
|
|
6.0 |
|
|
6.2 |
|
|
| 2.6. |
9. 抗生素力價分析用緩衝液 |
| |
製備標準液之
緩 衝 液 |
成 分 及 製 備 法 |
pH |
| 1號緩衝液 |
將13.6g KH2PO4溶解於蒸餾水中,然後稀釋成1,000ml。 |
45±0.1 |
| 2號緩衝液 |
將3.5g KH2PO4溶解於500ml蒸餾水中;另取3g
Na2HPO4溶解於500ml蒸餾水中然後將兩液混合。 |
6.0±0.1 |
| 3號緩衝液 |
將7.0g KH2PO4溶解於500ml蒸餾水中;另取6.0g
Na2HPO4溶解於500ml蒸餾中,然後將兩液混合。 |
6.0±0.1 |
| 4號緩衝液 |
將13.3g KH2PO4溶解於900ml蒸餾水中;另取6.2g
KOH溶解於100ml蒸餾水中,然後將兩液混合。 |
80±0.1 |
| 5號緩衝液 |
將40g KH2PO4溶解於500ml蒸餾水中;另取10g
Na2HPO4溶解於500ml蒸餾水中,然後將兩液以適當比例混合。 |
6.0±0.1 |
| 6號緩衝液 |
將80g KH2PO4溶解於700ml蒸餾水中;另取20g
Na2HPO4溶解於300ml,然後將兩液混合。 |
6.0±0.1 |
| 7號緩衝液 |
將13.3g KH2PO4及100g
NaC1溶解於蒸餾水900ml;另取6.2g KOH溶解於100ml,蒸餾水中,然後將兩液混合。 |
8.0±0.1 |
| 8號緩衝液 |
將6.4g KH2PO4及18.9g
Na2HPO4溶解於1,000ml蒸餾水中。 |
7.0±0.1 |
| 9號緩衝液 |
6.075g Tris溶解於蒸餾水,使其容量為250ml,並加入0.1N
HCI 300ml及蒸餾水450ml。 |
8.0±0.1 |
|
| |
|
| 2.7. |
指示劑 |
| 2.7. |
1. 茜素紅 (Alizarin Red) |
| |
| |
Sodium alizarin monosulfonate
|
1
|
gm |
| |
Distilled water
|
100.0
|
ml |
| |
pH
範圍:5.0~6.8。 |
|
|
| |
顏色變化:黃至紅色。 |
|
|
|
| 2.7. |
2. 溴甲酚綠 (Bromcresol Green) |
| |
| |
Bromcresol green
|
40.0
|
mg |
| |
Absolute ethyl alcohol
|
100.0
|
ml |
| |
pH
範圍:4.0~5.6。 |
|
|
| |
顏色變化:黃色至藍色 |
|
|
|
| 2.7. |
3. 溴麝香草酚藍 (Bromthymol Blue) |
| |
| |
Dibromthymolsulfonphthalein
|
40.0
|
mg |
| |
Absolute ethyl alcohol
|
100.0
|
ml |
| |
pH
範圍:6.0~7.6。 |
|
|
| |
顏色變化:黃色至藍色 |
|
|
|
| 2.7. |
4. 氯酚紅(Chlorophenol Red) |
| |
| |
Chlorphenol red
|
40.0
|
mg |
| |
Absolute ethyl alcohol
|
100.0
|
ml |
| |
pH
範圍:6.0~6.6。 |
|
|
| |
顏色變化:黃色至紅色 |
|
|
|
| 2.7. |
5. 剛果紅 (Congo Red) |
| |
| |
Congo red
|
0.5
|
gm |
| |
Distilled water
|
90.0
|
ml |
| |
Ethyl alcohol(95%) |
10.0
|
ml |
| |
pH
範圍:3.0~5.0。 |
|
|
| |
顏色變化:藍色至橘紅色。 |
|
|
|
| 2.7. |
6. 雙甲基氨偶氮苯 (Dimethylaminoazobenzene) (Topfer's
Reagent) |
| |
| |
p-dimethylaminoazobenzene
|
0.5
|
gm |
| |
Ethyl alcohol(95%)
|
100.0
|
ml |
| |
pH
範圍:2.9~4.0。 |
|
|
| |
顏色變化:紅色至黃色。 |
|
|
|
| 2.7. |
7. 甲基澄黃 (Methy1 orange) |
| |
| |
Methy1 orange
|
100.0
|
gm |
| |
Distilled water
|
100.0
|
ml |
| |
pH
範圍:3.1~4.4。 |
|
|
| |
顏色變化:橘紅至黃色。 |
|
|
|
| 2.7. |
8. 甲基紅 (Methy1 Red) |
| |
| |
Methy1 red
|
1.0
|
gm |
| |
Ethy1 alcohol(95%) |
300.0
|
ml |
| |
Distilled water 調配至
|
500.0
|
ml |
| |
pH
範圍:4.2~6.3。 |
|
|
| |
顏色變化:紅色至黃色。 |
|
|
|
| 2.7. |
9. 中性紅 (Neutral Red) |
| |
| |
Neutral red
|
0.5
|
gm |
| |
Ethy1 alcohol(95%) |
300.0
|
ml |
| |
Distilled water 調配至
|
500.0
|
ml |
| |
pH
範圍:6.8~8.0。 |
|
|
| |
顏色變化:紅色至黃色。 |
|
|
|
| 2.7. |
10. 酚(酉太) (Phenolphthalein) |
| |
| |
Phenolphthalein
|
1.0
|
gm |
| |
Ethy1 alcohol(95%) |
100.0
|
ml |
| |
pH
範圍:8.3~10.0。 |
|
|
| |
顏色變化:無色至紅色。 |
|
|
|
| 2.7. |
11. 酚紅 (Phenol Red) |
| |
| |
Phenol red(phenolsulfonphthalein)
|
20.0
|
mg |
| |
Ethy1 alcohol(95%) |
100.0
|
ml |
| |
pH
範圍:6.6~8.2。 |
|
|
| |
顏色變化:黃色至紅色。 |
|
|
|
| 2.7. |
12. 麝香草酚藍 (Thymol Blue) |
| |
| |
Thymol blue (thymolsulfonphthalein)
|
40.0
|
mg |
| |
Absolute ethy1 alcohol |
100.0
|
ml |
| |
pH
範圍:1.2~2.8( 酸性範圍 )。 |
|
|
| |
顏色變化:紅色至黃色。 |
|
|
| |
pH
範圍:8.2~9.8( 鹼性範圍 )。 |
|
|
| |
顏色變化:黃色至藍色。 |
|
|
|
| |
|
| 2.8. |
微生物菌種保護劑 |
| |
- 馬血清 (56℃ 45 分處理 )
- 10% 脫脂奶粉
- 小牛血清 (56℃ 45 分處理 )
- 10% 脫脂奶粉 +20% 馬血清等量混合
- 6% 蛋白+0.5% 可溶性澱粉 +1% 麩胺酸鈉 (Sodium glutamate)+1%
動物膠(Gelatin)(PH7.2~7.4)
- 10% 脫脂奶粉 +5% 酵母浸出物 (Yeast extract)
- 1% 乳糖
- 1% 蔗糖+1% 麩胺酸鈉 +20% 馬血清
- 10% 阿拉伯膠溶液 (Arabian gel solution)
- 馬血清 400ml+ 葡萄糖 30gm 溶解後過濾除菌
- 20% 甘油溶液 +0.2% 牛血清白蛋白 (Serum albumin) 等量混合過濾除菌
- 10% 甘油液
- 20% 脫脂奶粉 + 馬血清等量混合
- 20% 脫脂奶粉 +20% 麩胺酸鈉等量混合
|
| 2.9. |
玻璃器皿清潔液之配製 |
| 2.9. |
1. 一般玻璃器皿之處理:如試管燒瓶三角瓶等 |
| |
新玻璃器具,通常以刷子沾浸肥皂水洗刷清淨之後,用自來水,蒸餾水沖洗,而供使用。 |
| |
若用之玻璃具是實施微生物實驗者則須於高壓殺菌釜內,殺菌之(15 磅 121℃,20 分鐘 ) |
| |
用途之玻璃清洗後,再以重鉻酸鉀液經 24 小時浸漬後,取出以刷子拭擦並用自來水,蒸餾水再充分洗滌, |
| |
重鉻酸鉀洗滌液之調配如下:
| |
|
稀 |
|
濃 |
| |
重鉻酸鉀 |
60 g |
|
60 g |
| |
濃硫酸 |
60cc |
|
460cc |
| |
水 |
1,000cc |
|
300cc |
|
| 2.9. |
2. 吸管之處理: |
| |
新吸管需於淺盤中,加入 1% 磷酸鈉溶液煮沸 10 分鐘經自來水沖洗後,需於 1% HCI
液中,以溶解玻面餘留之磷酸鹽膜,最後用自來水,蒸餾水沖洗乾燥。 |
| |
用過之吸管宜先浸於 3% 石碳酸液或其他強力殺菌液中數小時,取出滴去藥液,繼以上述之方法處理。 |
| |
吸管之沖洗為求完全,常設置三個廣口高玻璃瓶,放入第一個筒內 ( 裝有稀 KMnO4 液
),浸三小時取出,沖洗後放入第二筒內,( 內裝強鹽酸 )
浸一小時放入第三筒,取一橡皮管接水管,另一端接玻管,吸管放入筒內,使該筒中水流自下向上,繼續經過吸管,使流出不呈酸性時為止,取出置於乾燥架中風乾,必要時,以酒精助乾燥。 |
| 2.9. |
3. 吸管清潔液 |
| |
| |
次氯酸鈉 (Sodium
hypochlorite)6% |
20 |
ml |
| |
自來水
(Tap water) |
80 |
ml |
|
| |
|
| 2.10. |
試劑之穩定性與水之使用 |
| |
許多試劑乃是不穩定的,這些試劑必須標明配製日期並在需要時置於冰箱貯存。另外,尚需在不穩定試劑瓶上書寫該試劑所能維持的穩定期限。 |
| |
配製試劑所用的水 (water) 必須精製,才能獲得任何精確度的試劑,水之淨化 ( 精製 )
可使用一種電氣或玻璃蒸餾器來完成。配製試劑所指的水 (water) 乃是蒸餾水 (distilled
water),除非指定其它用水,如:自來水 (tap water) 或井水之外。 |
| |
|
| 2.11. |
試劑之貯存 |
| |
應用於實驗診斷 ( 檢驗 )
之試劑,必須在有效期間內妥為貯存,以獲得精確之檢驗結果。一般試劑乃視需要而定,分裝於玻蓋之棕色瓶或一般玻璃瓶以及耐熱玻璃或聚乙烯瓶內,再貯存於室溫或冰箱溫度,以維持試劑之穩定性。一般而言,在量筒或量瓶、燒杯內配製完成之試劑,必須立刻轉移至適合之試劑瓶內,以防試劑受到外界因性之干擾而破壞試劑之穩定性和純度。 |
| |
|